为什么Java不支持多继承?
注意
内容来源网络,仅供学习使用。
不要相信文档中的链接、联系方式等!!!
为什么Java不支持多继承?
典型回答
因为如果要实现多继承,就会像C++中一样,存在菱形继承的问题,C++为了解决菱形继承问题,又引入了虚继承。因为支持多继承,引入了菱形继承问题,又因为要解决菱形继承问题,引入了虚继承。而经过分析,人们发现我们其实真正想要使用多继承的情况并不多。所以,在 Java 中,不允许“多继承”,即一个类不允许继承多个父类。
除了菱形的问题,支持多继承复杂度也会增加。一个类继承了多个父类,可能会继承大量的属性和方法,导致类的接口变得庞大、难以理解和维护。此外,在修改一个父类时,可能会影响到多个子类,增加了代码的耦合度。
在Java 8以前,接口中是不能有方法的实现的。所以一个类同时实现多个接口的话,也不会出现C++中的歧义问题。因为所有方法都没有方法体,真正的实现还是在子类中的。但是,Java 8中支持了默认函数(default method ),即接口中可以定义一个有方法体的方法了。
而又因为Java支持同时实现多个接口,这就相当于通过implements就可以从多个接口中继承到多个方法了,但是,Java8中为了避免菱形继承的问题,在实现的多个接口中如果有相同方法,就会要求该类必须重写这个方法。
扩展知识
菱形继承问题
Java的创始人James Gosling曾经回答过,他表示:
“Java之所以不支持一个类继承多个类,主要是因为在设计之初我们听取了来自C++和Objective-C等阵营的人的意见。因为多继承会产生很多歧义问题。”
Gosling老人家提到的歧义问题,其实是C++因为支持多继承之后带来的菱形继承问题。
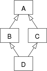
假设我们有类B和类C,它们都继承了相同的类A。另外我们还有类D,类D通过多重继承机制继承了类B和类C。

这时候,因为D同时继承了B和C,并且B和C又同时继承了A,那么,D中就会因为多重继承,继承到两份来自A中的属性和方法。
这时候,在使用D的时候,如果想要调用一个定义在A中的方法时,就会出现歧义。
因为这样的继承关系的形状类似于菱形,因此这个问题被形象地称为菱形继承问题。
而C++为了解决菱形继承问题,又引入了虚继承。
因为支持多继承,引入了菱形继承问题,又因为要解决菱形继承问题,引入了虚继承。而经过分析,人们发现我们其实真正想要使用多继承的情况并不多。
所以,在 Java 中,不允许“声明多继承”,即一个类不允许继承多个父类。但是 Java 允许“实现多继承”,即一个类可以实现多个接口,一个接口也可以继承多个父接口。由于接口只允许有方法声明而不允许有方法实现(Java 8之前),这就避免了 C++ 中多继承的歧义问题。
Java 8中的多继承
Java不支持多继承,但是是支持多实现的,也就是说,同一个类可以同时实现多个接口。
我们知道,在Java 8以前,接口中是不能有方法的实现的。所以一个类同时实现多个接口的话,也不会出现C++中的歧义问题。因为所有方法都没有方法体,真正的实现还是在子类中的。
那么问题来了。
Java 8中支持了默认函数(default method ),即接口中可以定义一个有方法体的方法了。
public interface Pet {
public default void eat(){
System.out.println("Pet Is Eating");
}
}而又因为Java支持同时实现多个接口,这就相当于通过implements就可以从多个接口中继承到多个方法了,这不就是变相支持了多继承么。
那么,Java是怎么解决菱形继承问题的呢?我们再定义一个哺乳动物接口,也定义一个eat方法。
public interface Mammal {
public default void eat(){
System.out.println("Mammal Is Eating");
}
}然后定义一个Cat,让他分别实现两个接口:
public class Cat implements Pet,Mammal {
}这时候,编译期会报错:
error: class Cat inherits unrelated defaults for eat() from types Mammal and Pet
这时候,就要求Cat类中,必须重写eat()方法。
public class Cat implements Pet,Mammal {
@Override
public void eat() {
System.out.println("Cat Is Eating");
}
}所以可以看到,Java并没有帮我们解决多继承的歧义问题,而是把这个问题留给开发人员,通过重写方法的方式自己解决。